
그 전 게시글에서는 matrix exponential을 구하는 방법에 대해서 다뤘습니다.(normal-engineer.tistory.com/32) 하지만, 눈치채셨을 지 모르겠지만, 사실 특정 case인 1) diagonal matrix, 2) jordan form, 3) complex eigenvalues 일 때만을 다루었씁니다.
$\text{Diagonal matrix}=\begin{bmatrix} \lambda_{1} & 0 & 0\\ 0 & \lambda_{2} & 0\\ 0 & 0 & \lambda_{3} \end{bmatrix}$
$\text{Jordan form}=\begin{bmatrix} \lambda_{m} & 1 & 0\\ 0 & \lambda_{m} & 1\\ 0 & 0 & \lambda_{m} \end{bmatrix}$
$\text{Complex eigenvalues}=\begin{bmatrix} \sigma & \omega \\ -\omega & \sigma \end{bmatrix}$
그러나 대부분의 matrix는 이런 깔끔한 형태가 아닙니다.
따라서 우리는 일반적인 matrix에 대해서도 matrix exponential을 구하기 위해 similarity transformation을 이용할 것입니다.
1. Similar matrix
Definition :
$\text{A and B matrices are similar if } \exists \text{invertible T, such that} A=TBT^{-1}$
$A=TBT^{-1}$
다음과 같은 관계식이 성립하는 A와 B matrix를 similar matrices라고 합니다.
이 similar matrices 간에는 동일한 eigenvalues를 갖는다는 성질이 있습니다.
proof)
$det(A-\lambda I)=det(TBT^{-1}-\lambda I) (\because A=TBT^{-1})$
$T(B-\lambda I)T^{-1}=TBT^{-1}-\lambda I$
$det(TBT^{-1}-\lambda I)=det(T(B-\lambda I)T^{-1})=det(T) det(B-\lambda I)det(T^{-1})=det(B-\lambda I)$
(determinanat 성질 : $det(AB)=det(A)det(B)\text{ and }det(A^{-1})=\frac{1}{det(A)}$)
$\Rightarrow$ A와 B는 같은 eigenvalues를 가집니다.
2. Similar Transformation
이 similar matrix 개념을 알고 난 뒤에
$A=TBT^{-1} \rightarrow \text{A and B are similar}$
$e^{At}=Te^{Bt}T^{-1}$ 임을 보이겠습니다.
proof)
$AA=(TBT^{-1})(TBT^{-1})=TBBT^{-1}=TB^{2}T^{-1}$
$A^{n}=TB^{2}T^{-1}\text{, for n=2,3,4}\cdots$
이 성질을 이용해서 $Te^{Bt}T^{-1}$을 구하도록 하겠습니다.
$Te^{Bt}T^{-1}$
$=T\{I+Bt+\frac{1}{2}B^{2}t^{2}+\cdots+\frac{1}{n!}B^{n}t^{n}+\cdots\}T^{-1}$
$=I+TBT^{-1}t+\frac{1}{2}TB^{2}T^{-1}t^{2}+\cdots+\frac{1}{n!}TB^{n}T^{-1}t^{n}$
$=I+At+\frac{1}{2}A^{2}t^{2}+\cdots+\frac{1}{n!}A^{n}t^{n}$
$=e^{At}$
이렇게 A의 matrix exponential과 B의 matrix exponential의 관계식을 유도하는 이유는 뒤에서도 다시 언급하겠지만, 일반적인 matrix A에 대하여 Transformation matrix, T를 구하고, 우리가 이미 알고 있는 matrix exponential인 diagonal(또는 jordan, complex eigenvalue)와 T에 대해 연산을 함으로써 A의 matrix exponential을 구할 수 있습니다.
3. Eigenvalues and Eigenvectors
일반적인 matrix A에 대하여 Transformation matrix T가 있고, B가 기존에 우리가 matrix exponential을 구하기 쉬운 형태라면, A의 matrix exponential을 구할 수 있다고 했습니다. general matrix A에 대하여 어떻게 T와 B를 구할 수 있을까요?
eigenvalues와 eigenvectors를 구하면 가능합니다.
1) Definition
일단 eigenvalues와 eigenvectors에 대한 정의를 다시 떠올려보겠습니다.
The vector space $V$, a field $F$, and a linear mapping $A : V\rightarrow V$
Eigenvalue Definition : The scalar $\lambda \in F$ is an eigenvalue of A iff there exists an associated eigenvector $v\neq0\in V$ such that $Av=\lambda v$
좀 더 우리가 많이 쓰는 vector field 내에서 정의한다면
matrix $A\in \mathbb{R}^{n\times n}$이 있을 때,
scalar $\lambda \in \mathbb{C}$ is an eigenvalue of A iff there exists an associated eigenvector $t\neq 0 \in \mathbb{C}^{n}$ such that $At=\lambda t$
일반적으로 실수로 이루어진 n by n matrix와 complex number인 eigenvalue를 고려하게 됩니다.
그리고 $(\lambda I-A)t=0\text{, where }t\neq 0 \Leftrightarrow det(\lambda I-A)=0$
t가 0이 아니라는 것은 $\lambda I-A$가 singular라는 뜻이고, 그 말은 곧 determinant가 0이라는 뜻입니다.
이렇게 eigenvalue를 구하는 게 중요한 이유는, 일반적인 matrix의 A로부터 구한, eigenvalue로 만든 diagonal matrix 역시 A와 같은 eigenvalue를 가지고 있기 때문입니다. 이 diagonal matrix와 일반적인 matrix A 간에 어떤 '관계'가 있을 것이라 추측해볼 수 있습니다.
2) Property
성질 : matrix A의 non-repeated eigenvalues는 각각 다른 eigenvectors를 가진다.
만약 matrix $A \in \mathbb{R}^{n \times n}$
eigenvalues of A가 모두 다르다고 가정한다면
$det(\lambda I-A)=(\lambda-\lambda_{1})(\lambda-\lambda_{2})\cdots(\lambda-\lambda_{n})\text{, and }(\lambda_{i}\neq \lambda_{j})$
따라서 각 eigenvalues는 서로 다른 eigenvector를 가지고 있습니다.
$(\lambda_{i}\neq\lambda_{j} \Rightarrow t_{i}\neq t_{j})$
만약에 eigenvectors들도 구성된 matrix $T=\begin{bmatrix} t_{1}& t_{2} & \cdots & t_{n} \end{bmatrix}$이 있다면, 이 matrix는 nonsingular입니다.
3) matrix diagonalization

matrix A는 matrix T를 통해 diagonalization할 수 있습니다.
$A=T\Lambda T^{-1}$
이므로 위에서 본 것에 따라
$e^{At}=Te^{\Lambda t}T^{-1}$이 성립합니다.
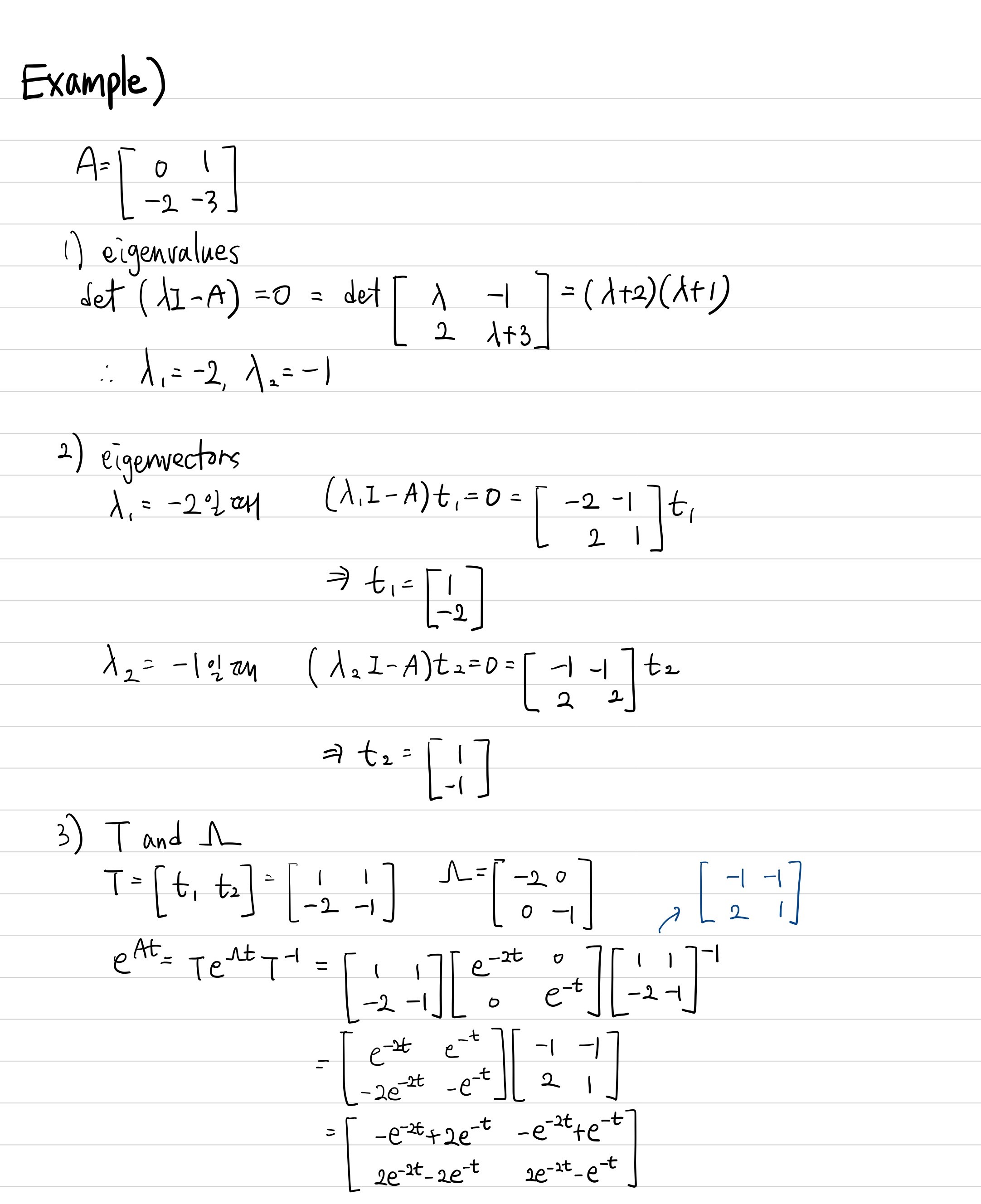
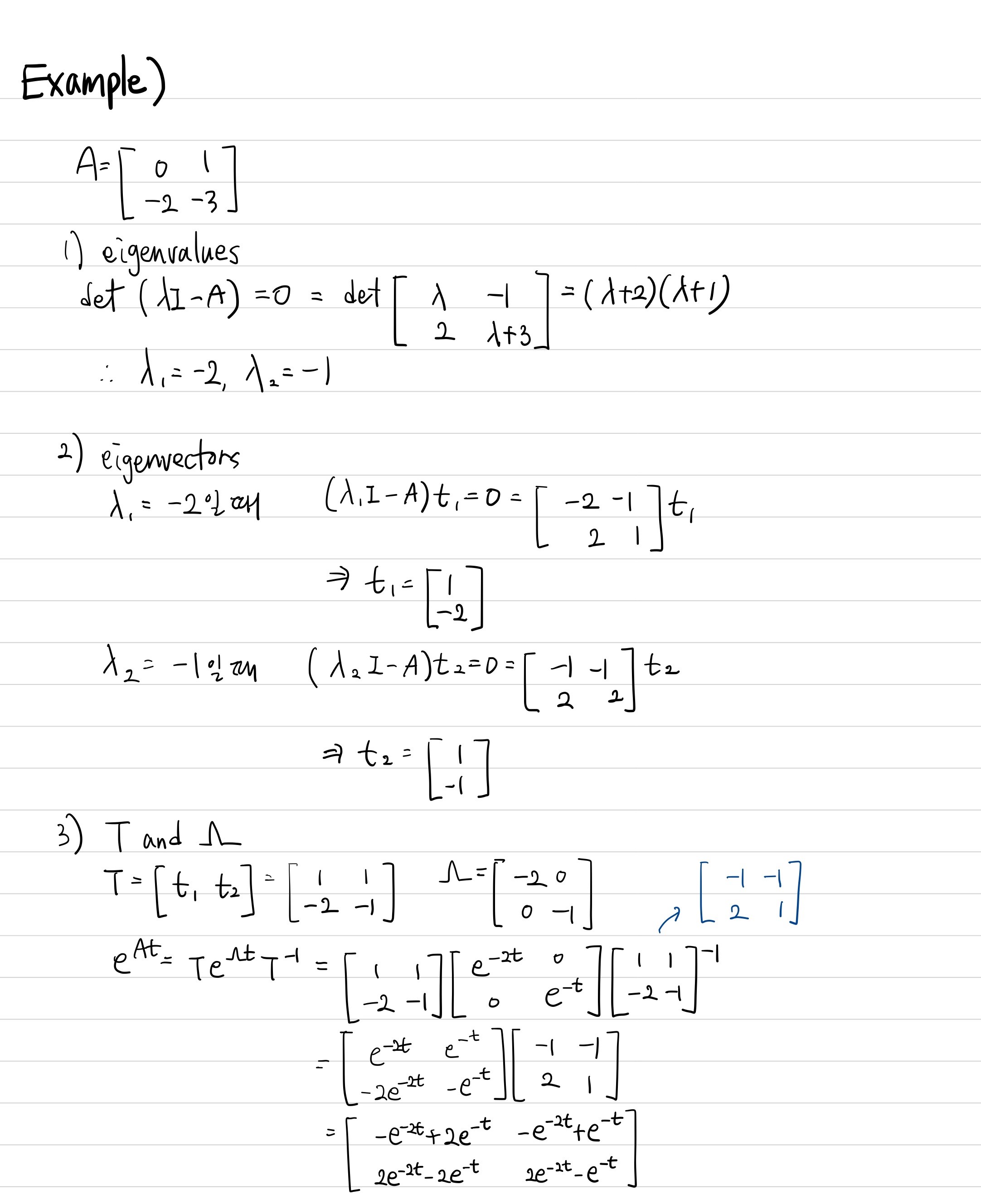
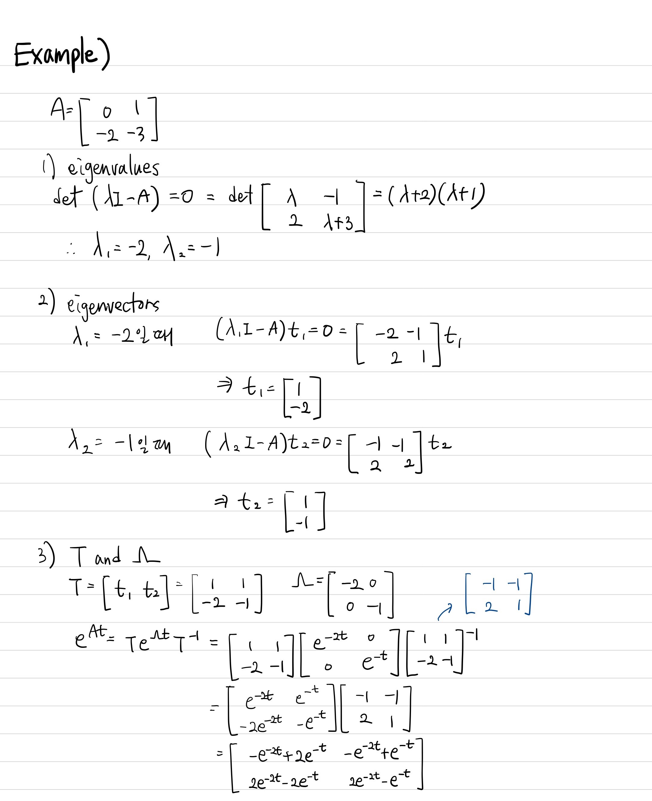
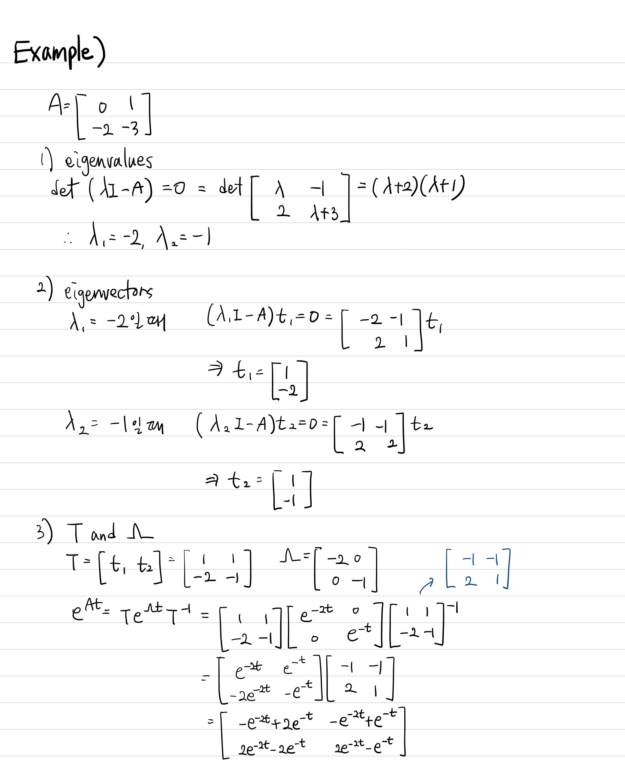
아래는 직접 eigenvalues, eigenvectors, transformation matrix를 구하는 과정입니다.

내용이 점점 길어지는 것 같아서 다음 글로 옮깁니다.
다음 파트에서는,
matrix exponential을 통해 LTI system을 물리적으로 어떻게 해석할 수 있는지 보겠습니다.
또한 complex eigenvalues, repeated eigenvalues일 때 transformation matrix와 matrix exponential을 어떻게 구하는지도 알아보도록 하겠습니다.
'연구 Research > 제어 Control' 카테고리의 다른 글
| [고등자동제어] Solution matrix via Inverse Laplace & Z-transform (0) | 2020.12.31 |
|---|---|
| [고등자동제어] Similarity Transformation for matrix exponential (2) (0) | 2020.12.29 |
| [고등자동제어] LTI 시스템의 state equation 풀기 (2) (0) | 2020.12.16 |
| [고등자동제어] LTI 시스템의 state equation 풀기 (1) (0) | 2020.12.15 |
| [고등자동제어] 제어에서 필요한 수학 개념 (0) | 2020.12.07 |