1. Convert Continous time model to Discrete time model
우리가 다루는 제어기는 컴퓨터 내에서 계산되고, 계산 결과 나오는 입력 신호 역시 디지털 신호지만, 그 신호를 받는 시스템은 아날로그인 경우가 있습니다. 그리고 analog plant에서 나오는 출력(아날로그)을 측정하는 것은 센서인데, 센서가 아무리 빠르게 sampling을 한다고 해도 그 값 역시 discrete한 값일 겁니다.

그 과정을 도식화하면 위의 그림과 같습니다.
discrete time input signal - continuous time model - discrete time output signal
일반적으로 discrete time input signal을 continous time model에 넣을 때 각 sequence가 sampling time만큼 유지된다고 생각하고 계단 모양의 continuous time function으로 변환합니다. 이를 ZOH(Zero Order Hold)라고 합니다.

이러한 순서대로 과정이 변하는데, 이렇게 discrete와 continuous를 오가는 것이 불편합니다.
따라서 이 전체적인 도식을 전부 discrete time으로 바꾼다면,

다음과 같이 discrete time equivalent system으로 통합할 수 있습니다.
이 때
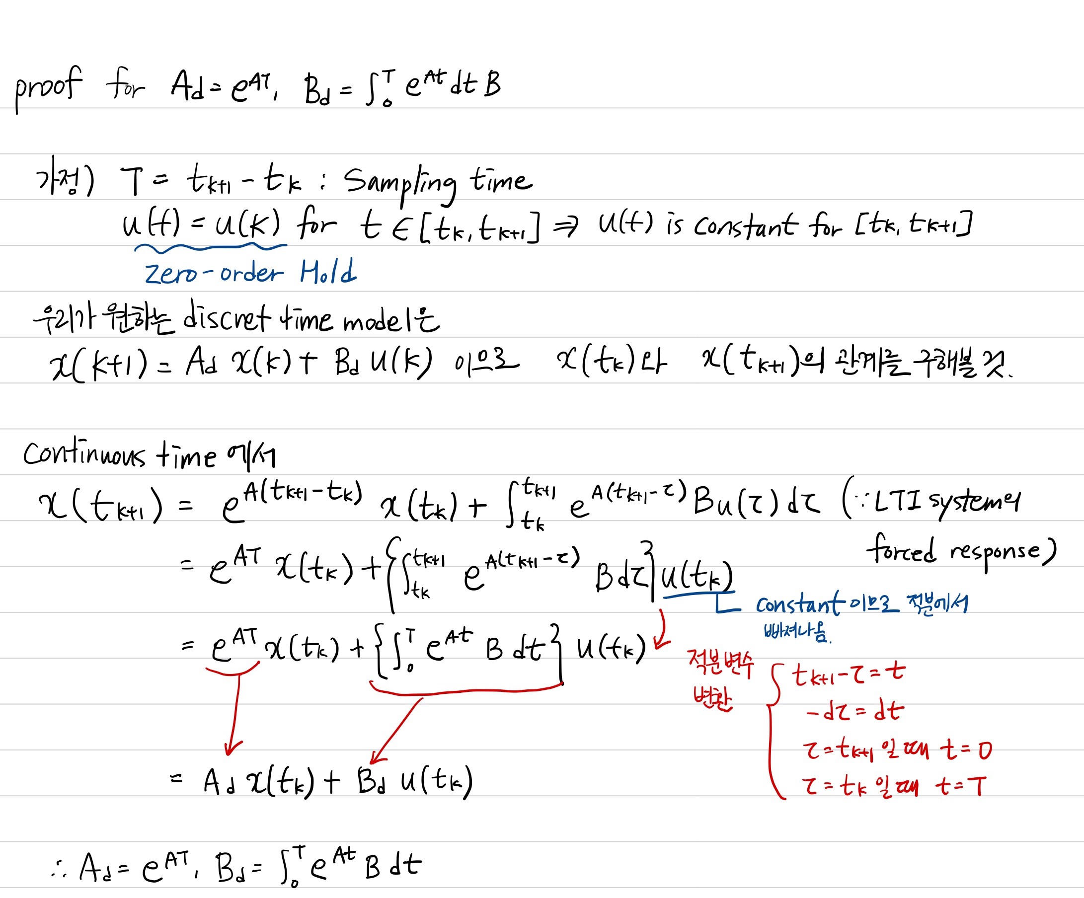
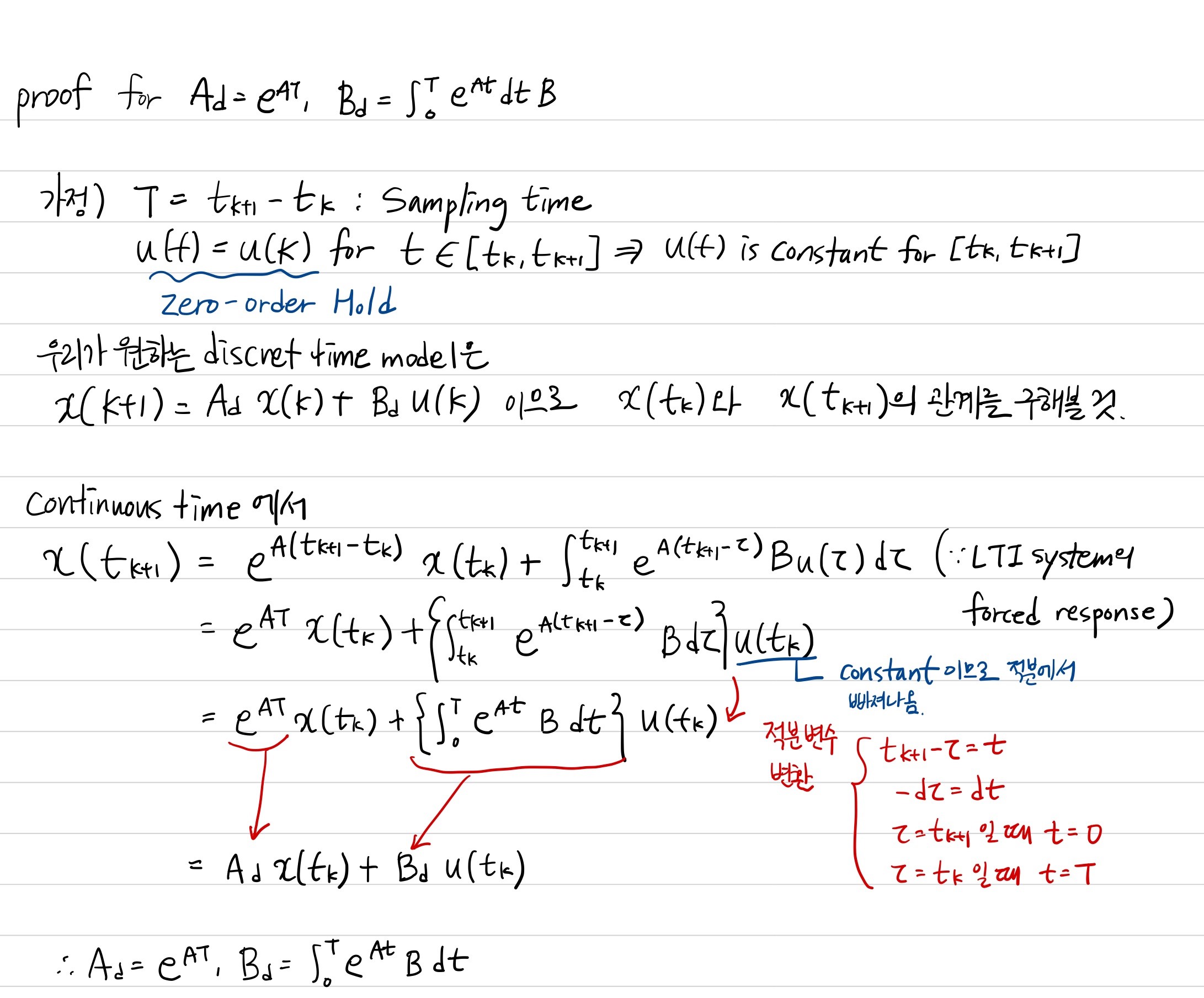
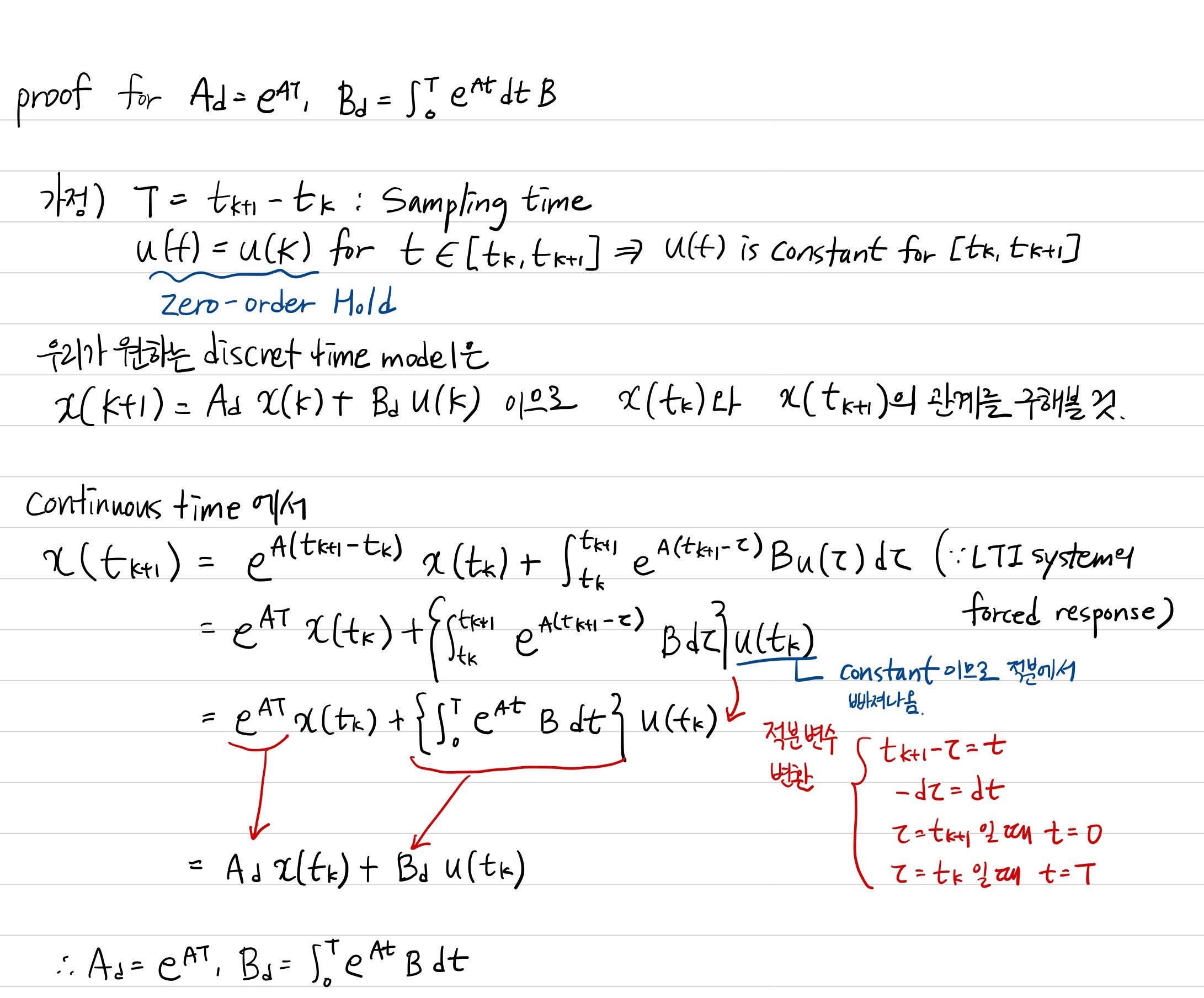
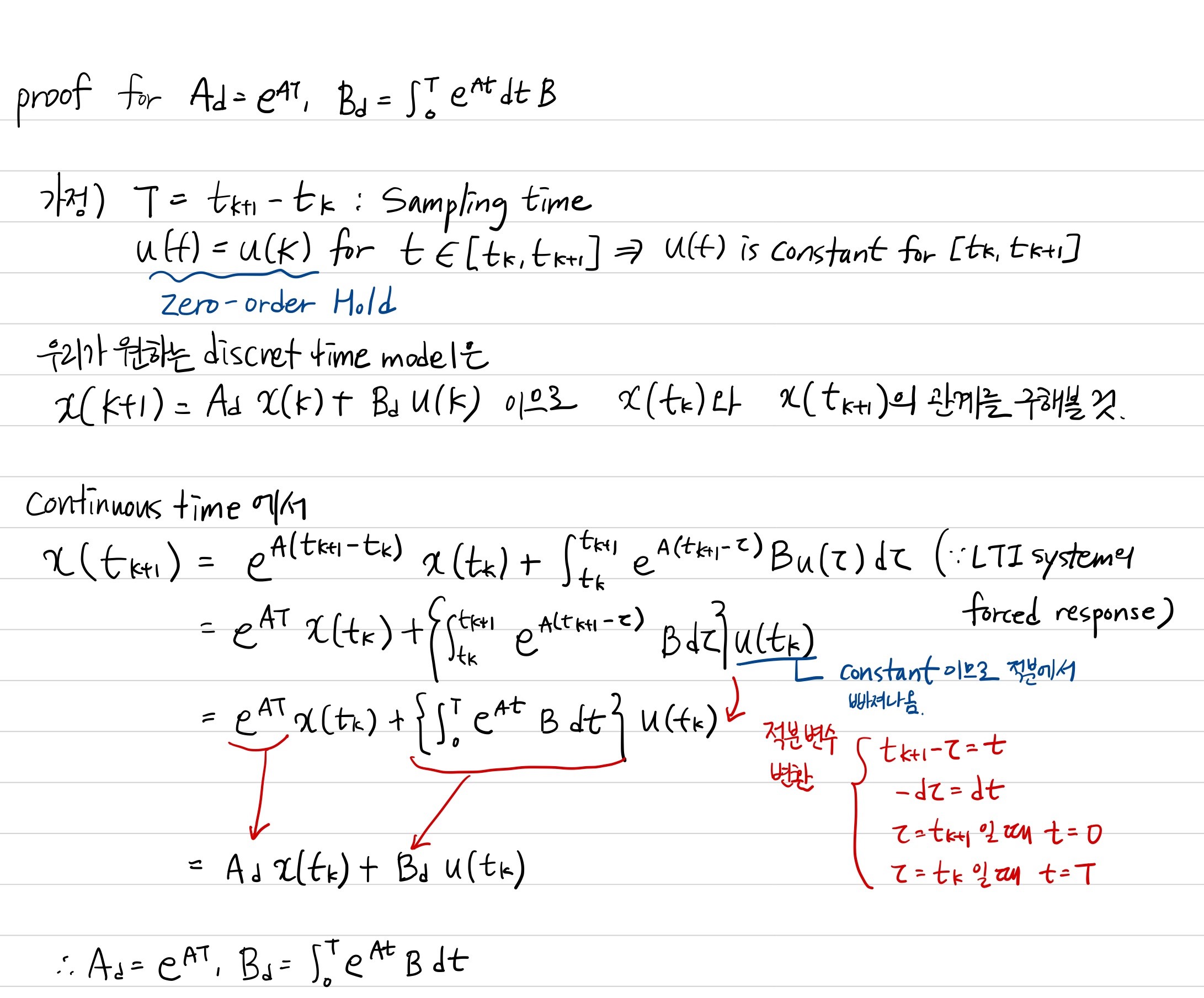
$A_{d}=e^{AT}\text{, where T is sampling time}$
$B_{d}=\int_{0}^{T}e^{At}dt B\text{, where T is sampling time}$
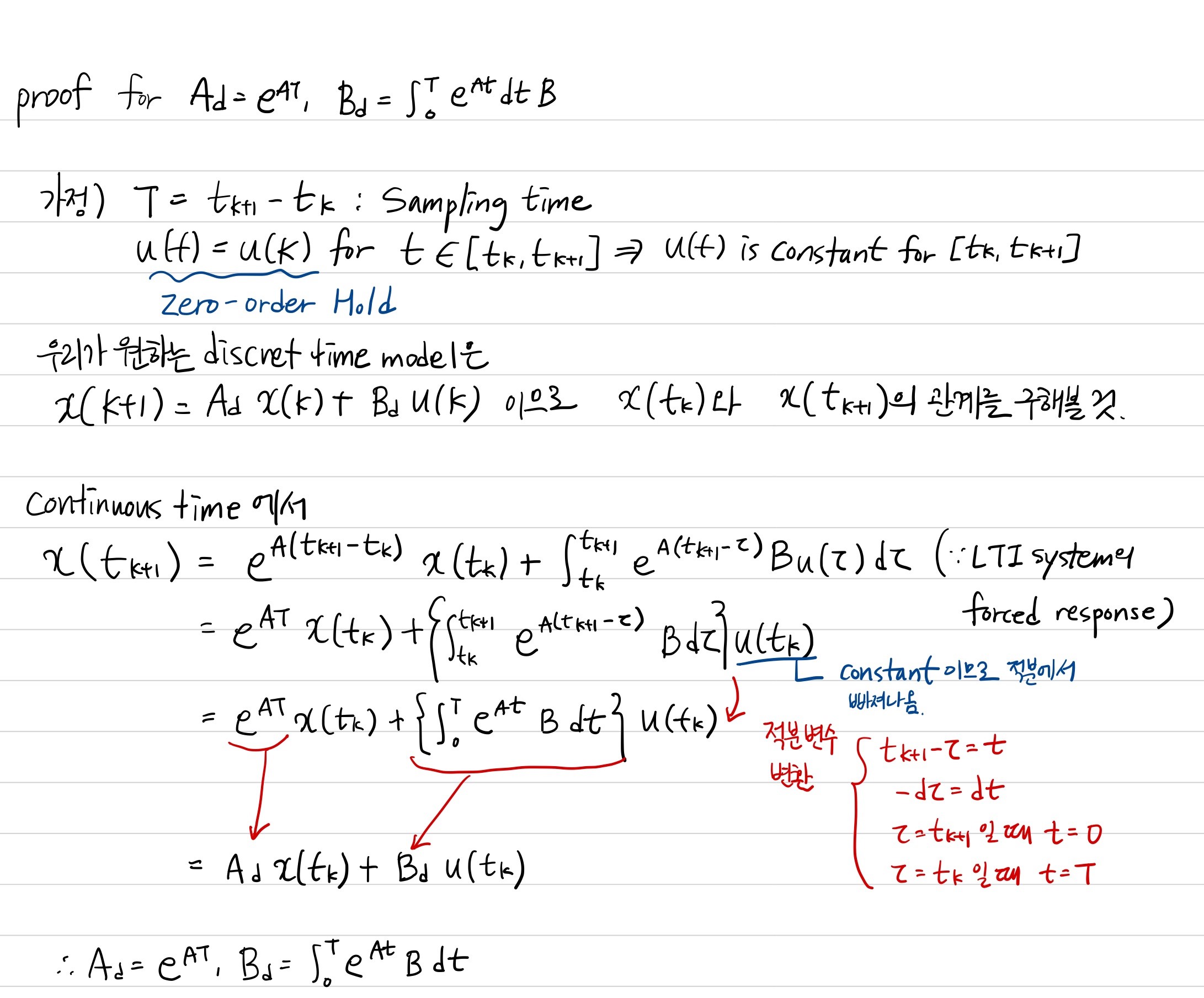
이에 대한 증명 :

또한 $A_{d}$의 eigenvalue와 $A$의 eigenvalue 사이에는 다음과 같은 관계가 성립합니다.
$\lambda_{i}(A_{d})=e^{\lambda_{i}(A)T}$
$\text{where}$
$\lambda_{i}(A_{d}): i^{th}\text{ eigenvalue of }A_{d}$
$\lambda_{i}(A): i^{th}\text{ eigenvalue of }A$
즉, $A_{d}$의 eigenvalue는 $A$의 eigenvalue의 exponential로 구할 수 있습니다.
이에 대한 증명 :

2. Convert Continuous time Transfer function(TF) to Discrete time TF
이번에는 continuous time model을 discrete time model로 바꾸는 것이 아니라,
바로 continuous time transfer function을 discrete time TF로 바꾸는 것에 대해 알아볼 것입니다.
결론부터 말하자면,
$G(z)=(1-z^{-1})Z\{\mathcal{L}^{-1}[\frac{G(s)}{s}]\}$
다음과 같이 G(s)에서 G(z)로 변환할 수 있습니다.
이렇게 변환되는 과정을 설명하도록 하겠습니다.

의문점 :

discrete time equivalent system에서 바로 tranfer function을 구하는 식을 취하면 동일한 결과가 나올까?
$\text{Tranfer function in discrete time model : }G(z)=C(zI-A_{d})^{-1}B+D$
'연구 Research > 제어 Control' 카테고리의 다른 글
| [고등자동제어] Stability in the sense of Lyapunov (2) (1) | 2021.01.07 |
|---|---|
| [고등자동제어] Stability in the sense of Lyapunov (1) (0) | 2021.01.07 |
| [고등자동제어] Solution matrix via Inverse Laplace & Z-transform (0) | 2020.12.31 |
| [고등자동제어] Similarity Transformation for matrix exponential (2) (0) | 2020.12.29 |
| [고등자동제어] Similarity Transformation for matrix exponential (1) (0) | 2020.12.29 |