논문을 작성하다보면 어쩔 수 없이 word에 논문을 써야할 때가 있는데 이 때 수식을 추가하는 방법에 대해 고민했었다.
수식을 삽입하는 방법은 2가지가 있다.
옵션 1) 이미지로 삽입하기 (MathType이나 LaTeX 수식을 이미지로 변환 후 사용하는 경우)
옵션 2) word 자체 수식을 사용하기
각 옵션마다 가능한 방법이 있다.
옵션 1의 경우
방법1. 수식을 이미지화 후 텍스트 줄 안으로 넣고 문장 끝에 번호 추가
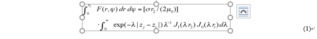
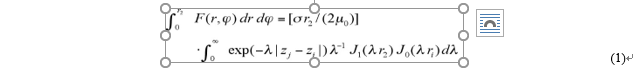
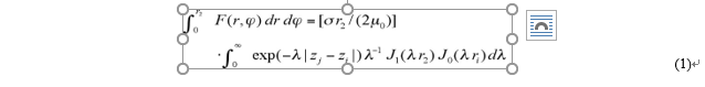
수식을 이미지화(jpg, png 등)한 후에 그림 옵션을 '텍스트 줄 안'으로 선정하고 이미지를 삽입한다. 그리고 탭을 눌러서 맨 끝에 (1)등의 변호를 추가한다.
이 경우는 수식을 이미지화했다는 전제가 있는데, mathtype 같은 다른 프로그램을 통해 수식을 이미지로 가지고 있는 경우에 편하다. 내가 가지고 있는 AIAA 저널 WORD 양식을 보면 다음과 같이 수식을 삽입하고 있다.

다음 그림을 보면 수식이 이미지이고 '텍스트 줄 안' 옵션 후에 탭으로 문장 끝으로 가서 번호를 삽입했다.
방법2. 투명한 표를 만들어서 열을 추가하고 그 안에 번호 삽입
아래와 같이 수식을 넣기 위한 두 개의 column이 있는 표를 만들고 테두리를 지워주면 된다. 이렇게 하면 수식 및 번호 정렬이 편해진다.

워드 수식, 이미지화된 수식 모두 사용할 수 있다는 장점이 있다.
옵션 2의 경우
방법1. 투명한 표를 만들어서 열을 추가하고 그 안에 번호 삽입
(위의 방법2와 동일)
아래와 같이 수식을 넣기 위한 두 개의 column이 있는 표를 만들고 테두리를 지워주면 된다. 이렇게 하면 수식 및 번호 정렬이 편해진다.

워드 수식, 이미지화된 수식 모두 사용할 수 있다는 장점이 있다.
방법2. WORD 수식을 줄 안에 넣고 수식 번호 추가
word 수식으로 수식을 작성한 다음에 문장 안에 삽입한다. 아래와 같이 문장 안에 표시를 클릭.

이렇게 할 경우에는 문장 안에 들어왔기 때문에 옆에 글자도 삽입할 수 있다.

위의 두 가지 방법이 불편한 점은 수식 번호의 위치를 탭(TAB)으로 조절해야해서 어렵다는 것이다.
방법3. WORD 수식에 #(1) 삽입 후 ENTER
다음과 같이

labeling 기호를 사용해서 #(1)를 수식 안에 작성 후에 enter를 누르면 우측 정렬된다.

이렇게 해도 모든 수식 번호를 다 일일이 입력해줘야한다는 불편사항이 있어서 개선하기 위한 방법을 고민 중이다.
나중에 좋은 방법을 알게 되면 수정하겠다.
'기타 > 논문작성 Writing' 카테고리의 다른 글
| [LaTeX] 기초(1) LaTeX가 뭔가요 (0) | 2023.09.27 |
|---|---|
| [LaTeX] LaTeX 안에 코드 블록 넣기 (0) | 2023.09.14 |
| [LaTeX] LaTeX Error: Command \openbox already defined. (0) | 2023.06.16 |
| [논문작성] physics와 siunitx package 활용하기 (0) | 2023.06.06 |
| [Overleaf] 고치던 파일이 컴파일되기 전에 날아갈 때 (0) | 2023.05.28 |