이전에 $f(z)$를 두 real-valued function $u(x,y)+iv(x,y)$으로 볼 수 있다는 것을 배웠습니다.
당연히 $f^{'}(z)$와 $u(x,y),v(x,y)$의 derivatives와도 연관성이 있을 것입니다.
만약 $f^{'}(z)$가 존재한다면, $u(x,y),v(x,y)$의 first-order partial derivatives가 만족해야만 하는 조건이 있습니다.
이를 통해 $f^{'}(z_{0})$를 $u,v$에 대해서 표현하는 방법도 알게 될 것입니다.
Cauchy-Riemann equation은 그에 대한 내용입니다.
$\text{first-order partial derivatives of the component functions u and v of a function}$
$f(z)=u(x,y)+iv(x,y)$
$z_{0}=x_{0}+iy_{0}$
$\Delta w = f(z_{0}+\Delta z)-f(z_{0})$
$\Rightarrow \Delta w = [u(x_{0}+\Delta x, y_{0}+\Delta y)+iv(x_{0}+\Delta x, y_{0}+\Delta y)]-[u(x_{0},y_{0})+iv(x_{0},y_{0})]$
$\frac{\Delta w}{\Delta z}=\frac{u(x_{0}+\Delta x,y_{0}+\Delta y)-u(x_{0},y_{0})}{\Delta x+i\Delta y}+i\frac{v(x_{0}+\Delta x, y_{0}+\Delta y)-v(x_{0},y_{0})}{\Delta x+i\Delta y}$
$\underset{(\Delta x, \Delta y)\rightarrow 0}{\lim} \frac{\Delta w}{\Delta z}$이 존재하기 위해서는 $(\Delta x,\Delta y)\rightarrow (0,0)$로 보내는 어떤 방향에서든 위의 값이 동일해야합니다.
Horizontal approach

$f^{'}(z_{0})=\underset{\Delta x \rightarrow 0}{\lim}\frac{u(x_{0}+\Delta x,y_{0})-u(x_{0},y_{0})}{\Delta x}+i \underset{\Delta x \rightarrow 0}{\lim}\frac{v(x_{0}+\Delta x,y_{0})-v(x_{0},y_{0})}{\Delta x}$
위의 lim는 $u,v$에 대한 partial derivatives로 볼 수 있습니다.
$f^{'}(z_{0})=u_{x}(x_{0},y_{0})+iv_{x}(x_{0},y_{0})\cdots (1)$
Vertical approach
$f^{'}(z_{0})=\underset{\Delta y \rightarrow 0}{\lim}\frac{u(x_{0}+\Delta x,y_{0})-u(x_{0},y_{0})}{i \Delta y}+i \underset{\Delta y \rightarrow 0}{\lim}\frac{v(x_{0},y_{0}+\Delta y)-v(x_{0},y_{0})}{i\Delta y}$
정리하면
$f^{'}(z_{0})=\underset{\Delta y \rightarrow 0}{\lim}\frac{v(x_{0},y_{0}+\Delta y)-v(x_{0},y_{0})}{\Delta y}-i \underset{\Delta y \rightarrow 0}{\lim}\frac{u(x_{0},y_{0}+\Delta y)-u(x_{0},y_{0})}{\Delta y}$
$f^{'}(z_{0})=v_{y}(x_{0},y_{0})-iu_{y}(x_{0},y_{0})\cdots (2)$
지속적으로 limit, derivatives에서 말했던 것처럼 limit가 존재하기 위해서는 어떤 manner로 극한에 접근하든 unique한 값을 가져야합니다. 즉, 위 식의 (1),(2)에서 $f^{'}(z_{0})$가 존재하기 위해서는 같은 값이어야 합니다.
이 말은 곧, $f^{'}(z_{0})$의 존재를 위한 필요조건(necessary condition)이라는 뜻입니다.
따라서
$u_{x}(x_{0},y_{0})=v_{y}(x_{0},y_{0})\text{ and }u_{y}(x_{0},y_{0})=-v_{x}(x_{0},y_{0})$
이 방정식이 바로 Cauchy-Riemann equations입니다.
최종적으로 Theorem으로 정리하면 다음과 같습니다.
$\textbf{Theorem : Cauchy-Riemann equations }$
$\text{Suppose that }f(z)=u(x,y)+iv(x,y)\text{ and that }f^{'}(z)\text{ exists at a point }z_{0}=x_{0}+iy_{0}.$
$\text{Then the first-order partial derivatives of u and v must exist at }(x_{0},y_{0})$
$\text{and they must satisfy the Cauchy-Riemann equations}$
$u_{x}=v_{y},u_{y}=-v_{x}$
$f^{'}(z_{0})\text{ can be written }f^{'}(z_{0})=u_{x}+iv_{x}$
$\text{where these partial derivatives are to be evaluated at }(x_{0},y_{0})$
정리하면, 어떤 점 $z_{0}$에서 f의 derivatives가 존재할 조건을 Cauchy-Riemann equation으로 알 수 있으며, $(x_{0},y_{0})$에서의 derivatives를 $f^{'}(z_{0})=u_{x}+iv_{x}$으로 $u,v$의 partial derivatives를 구함으로써 알 수 있습니다.
Sec 22. Examples
Cauchy-Riemann equation을 통해 derivatives에 대한 필요조건을 테스트해볼 수는 있디만, Cauchy-Riemann equation이 성립한다고 해서 반드시 그 점에서 derivatives가 존재하는 것은 아닙니다.
$\text{example 1. }$ Cauchy-Riemann equation을 만족하는 사례
$f(z)=z^{2}=x^{2}-y^{2}+i2xy$
$u_{x}=2x=v_{y}, u_{y}=-2y=-v_{x}$
$\Rightarrow f^{'}(z)=u_{x}+iv_{x}=2x+i2y=2z$
$\text{example 2. }$ 특정 점에서만 Cauchy-Riemann equation을 만족하면서 그 점에서 derivatives가 있는 사례
$f(z)=|z|^{2}$
$u(x,y)=x^{2}+y^{2} \text{ and }v(x,y)=0$
Cauchy-Riemann equation이 성립하는지 확인해보겠습니다.
$u_{x}=2x=v_{y}=0$
$u_{y}=2y=-v_{x}=0$
$(x,y)=(0,0)$이면 위의 방정식이 성립합니다.
여기서 주의할 점은 이 함수가 원점에서 Cauchy-Riemann equation이 성립한다고 해서 반드시 $f^{'}(0)$이 존재한다고 결론내릴 수 없다는 점입니다.
다음 section에서는 existence of derivatives의 필요충분조건을 알게되며, 이 예시에서 원점에 derivatives가 존재합니다.
$\text{example 3. }$ 특정 점에서만 Cauchy-Riemann equation을 만족하면서 그 점에서 derivatives가 없는 사례
$f(z)=\begin{cases}\frac{\overline{z}^{2}}{z} & \text{ when }z\neq 0 \\ 0 & \text{ when }z= 0\end{cases}$
$u(x,y)=\frac{x^{3}-3xy^{2}}{x^{2}+y^{2}}$
$v(x,y)=\frac{y^{3}-3x^{2}y}{x^{2}+y^{2}}$
이 결과는 $(x,y)\neq (0,0)$일 때입니다.
원점에서의 partial derivatives 값을 알아보도록 하겠습니다.
$u_{x}(0,0)=\underset{\Delta x\rightarrow 0}{\lim} \frac{u(0+\Delta x,0)-u(0,0)}{\Delta x}=\underset{\Delta x \rightarrow 0}{\lim}\frac{\Delta x}{\Delta x}=1$
$v_{y}(0,0)=\underset{\Delta y\rightarrow 0}{\lim} \frac{v(0,0+\Delta y)-v(0,0)}{\Delta y}=\underset{\Delta y \rightarrow 0}{\lim}\frac{\Delta y}{\Delta y}=1$
원점에서 Cauchy-Riemann equation이 성립합니다. 하지만 이 함수는 원점에서 derivatives가 존재하지 않습니다.
$u,v$말고 $f^{'}(z)$에 대하여 derivatives를 구했을 때
$\Delta y=\Delta x \ line을 따라서 원점에 접근하는 경우를 구해보도록 하겠습니다.
$\underset{\Delta z\rightarrow 0}{\lim}\frac{\Delta w}{\Delta z}=\underset{\Delta z\rightarrow 0}{\lim}\frac{f(0+\Delta z)-f(0)}{\Delta}=\underset{\Delta z\rightarrow 0}{\lim}\frac{\frac{\overline{\Delta z}^{2}}{\Delta z}-0}{\Delta z}=\underset{\Delta z\rightarrow 0}{\lim}\frac{\overline{\Delta z}^{2}}{(\Delta z)^{2}}$
$\Delta z=(\Delta x, \Delta x)$
$\Delta z =\Delta x+i\Delta x$
$(\Delta z)^{2}=(\Delta x)^{2}-(\Delta x)^{2}+2 i \Delta x = 2 i \Delta x$
$(\overline{\Delta z})^{2}=(\Delta x)^{2}-(\Delta x)^{2}+2 i \Delta x = -2 i \Delta x$
$\underset{\Delta z\rightarrow 0}{\lim}\frac{\Delta w}{\Delta z}=\frac{2i\Delta x}{-2i\Delta x}=-1$
$\Delta y=\Delta x$일 때는 derivatives 값이 -1이므로 unique하지 않습니다. 따라서 이 함수는 원점에서 derivatives가 존재하지 않습니다.
Sec 23. Sufficient Conditions For Differentiability
$z_{0}$에서 Cauchy-Riemann equation을 만족한다고 해서 derivative of a function $f(z)$ at that point가 존재하기에 충분한 것은 아닙니다.
따라서 differentiability의 충분조건(sufficient conditions)을 알려주는 theorem을 알아보겠습니다.
$\text{Theorem. Let the function } f(z)=u(x,y)+iv(x,y)$
$\text{be defined throughout some }\varepsilon\text{ neighborhood of a point }z_{0}=x_{0}+iy_{0}\text{, and suppose that}$
$\text{(a). the first-order partial derivatives of the functions u and v}$
$\text{with respect to x and y exist everywhere in the neighborhood}$
$\text{(b). those partial derivatives are continuous at }(x_{0},y_{0})$
$\text{ and satisfy the Cauchy-Riemann equations }u_{x}=v_{y}, u_{y}=-v_{x}\text{ at }(x_{0},y_{0})$
$\text{then }f^{'}(z_{0}) \text{ exists, its value being }f^{'}(z_{0})=u_{x}+iv_{x}\text{ where the right-hand side is to be evaluated at }(x_{0},y_{0})$
(a)조건은 $u(x,y),v(x,y)$가 모든 점에서 first partial derivatives가 존재해야한다는 점이고,
(b)조건은 특정 점 $z_{0}=(x_{0},y_{0})$에서 partial derivatives가 continuous하면서 Cauchy-Riemann equations을 만족해야합니다.
위의 example을 다시 생각해봅시다.
example2는
$f(z)=|z|^{2}$
$u(x,y)=x^{2}+y^{2} \text{ and }v(x,y)=0$
$u_{x}=2x, v_{y}=0$
$u_{y}=2y, v_{x}=0$
모든 점($z=(x,y)$)에서 first partial derivatives가 존재하고, 원점에서 continuous하면서 Cauchy-Riemann equation이 성립하므로 derivative $f^{'}(0)$이 존재합니다.
반면에 example3는
$f(z)=\begin{cases}\frac{\overline{z}^{2}}{z} & \text{ when }z\neq 0 \\ 0 & \text{ when }z= 0\end{cases}$
$u(x,y)=\frac{x^{3}-3xy^{2}}{x^{2}+y^{2}}\text{, where }z\neq 0$
$v(x,y)=\frac{y^{3}-3x^{2}y}{x^{2}+y^{2}} \text{, where }z\neq 0$
위 식을 이용해서 구한
$u_{x}=\frac{(x^{2}+y^{2})(3x^{2}-3y^{2})-2x(x^{3}-3xy^{2})}{(x^{2}+y^{2})^{2}}=\frac{x^{4}+6x^{2}y^{2}-3y^{4}}{x^{4}+2x^{2}y^{2}+y^{4}}$
$v_{y}=\frac{(x^{2}+y^{2})(3y^{2}-3x^{2})-2y(y^{3}-3x^{2}y)}{(x^{2}+y^{2})^{2}}=\frac{-3x^{4}+6x^{2}y^{2}+y^{4}}{x^{4}+2x^{2}y^{2}+y^{4}}$
$u_{x}(0,0)=1$임을
$u_{x}(0,0)=\underset{\Delta x\rightarrow 0}{\lim} \frac{u(0+\Delta x,0)-u(0,0)}{\Delta x}=\underset{\Delta x \rightarrow 0}{\lim}\frac{\Delta x}{\Delta x}=1$
위에서 정의를 통해 알아냈으므로
우리는 $u_{x}(x,y)\text{, where }(x,y)\neq (0,0)$가 원점으로 갈 때 $u_{x}(0,0)$과 같음으로써 continuous한 조건을 만족해야 derivatives가 존재한다는 것을 Theorem을 통해 알고 있습니다.
즉, $\underset{(x,y)\rightarrow (0,0)}{\lim}u_{x}=u_{x}(0,0)=1$ 이 성립해야합니다.
x axis에 대해 극한을 취하도록 하겠습니다. $y=0$일 때 $\underset{x\rightarrow 0}{\lim}\frac{x^{4}+6x^{2}\cdot 0^{2}-3\cdot0^{4}}{x^{4}+2x^{2}\cdot 0^{2}+0^{4}}=\underset{x\rightarrow 0}{\lim}\frac{x^{4}}{x^{4}}=1$
y axis에 대해 극한을 취하도록 하겠습니다.
$\underset{y\rightarrow 0}{\lim}\frac{0^{4}+6\cdot 0^{2}y^{2}-3y^{4}}{0^{4}+2\cdot 0^{2} y^{2}+y^{4}}=\underset{y\rightarrow 0}{\lim}\frac{-3y^{4}}{y^{4}}=-3$
두 방향에서의 극한값이 다르므로 원점에서 continuous하지 않습니다.
따라서 위의 theorem의 continuous 조건이 맞지 않으므로 derivatives $f^{'}(0)$는 존재하지 않습니다.
Sec 24. Polar Coordinates
$z=re^{i\theta}\rightarrow x=r\cos\theta, y=r\sin\theta$
이번에는 앞에서 다루었던 derivatives를 $r$과 $\theta$에 대해서 알아보려고 합니다.
$\frac{\partial u}{\partial r}=\frac{\partial u}{\partial x}\frac{\partial x}{\partial r}+\frac{\partial u}{\partial y}\frac{\partial y}{\partial r}$
$\frac{\partial u}{\partial \theta}=\frac{\partial u}{\partial x}\frac{\partial x}{\partial \theta}+\frac{\partial u}{\partial y}\frac{\partial y}{\partial \theta}$
위의 식을 이용해서 $u_{r},u_{\theta},v_{r},v_{\theta}$를 구해보도록 하겠습니다.
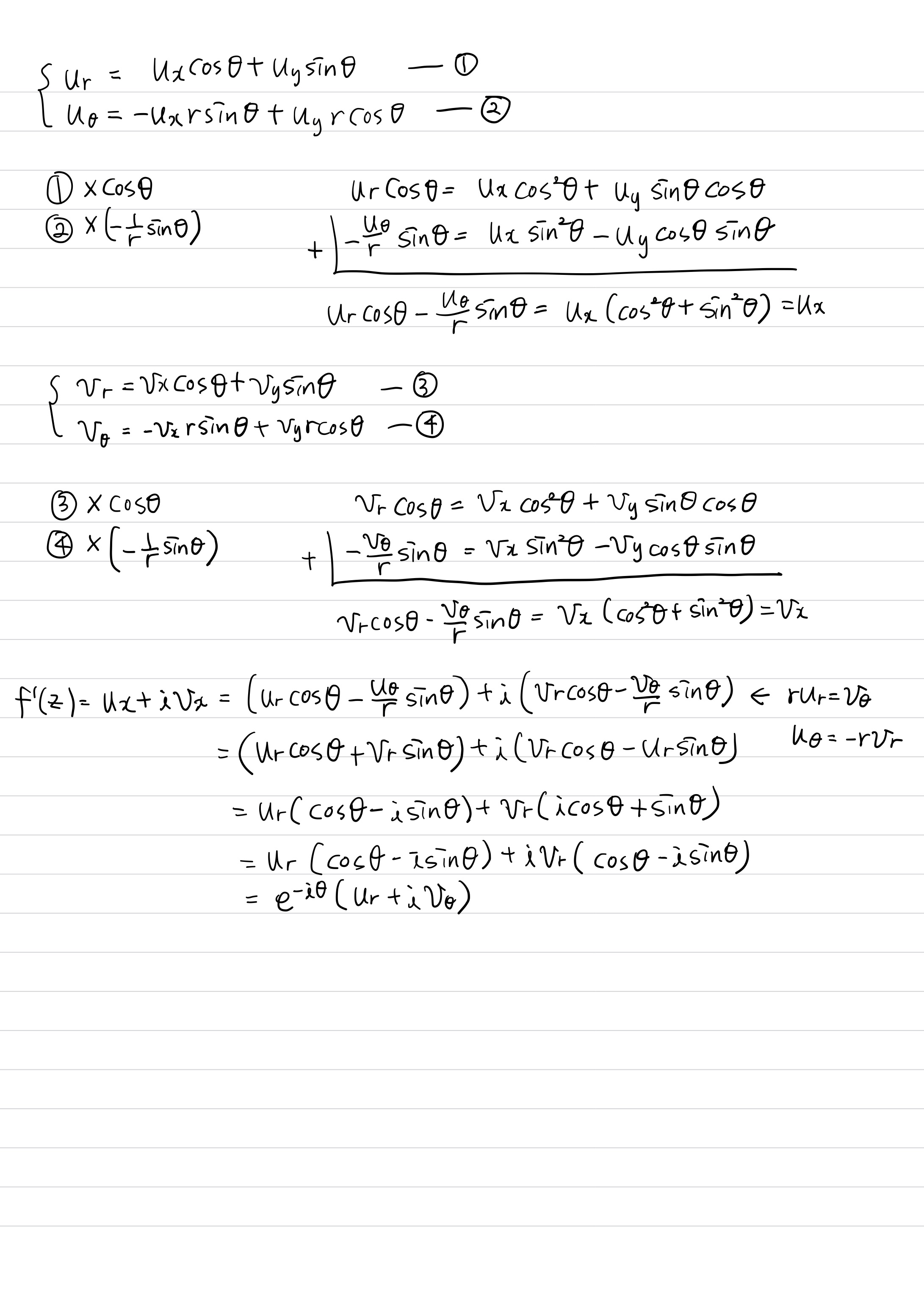
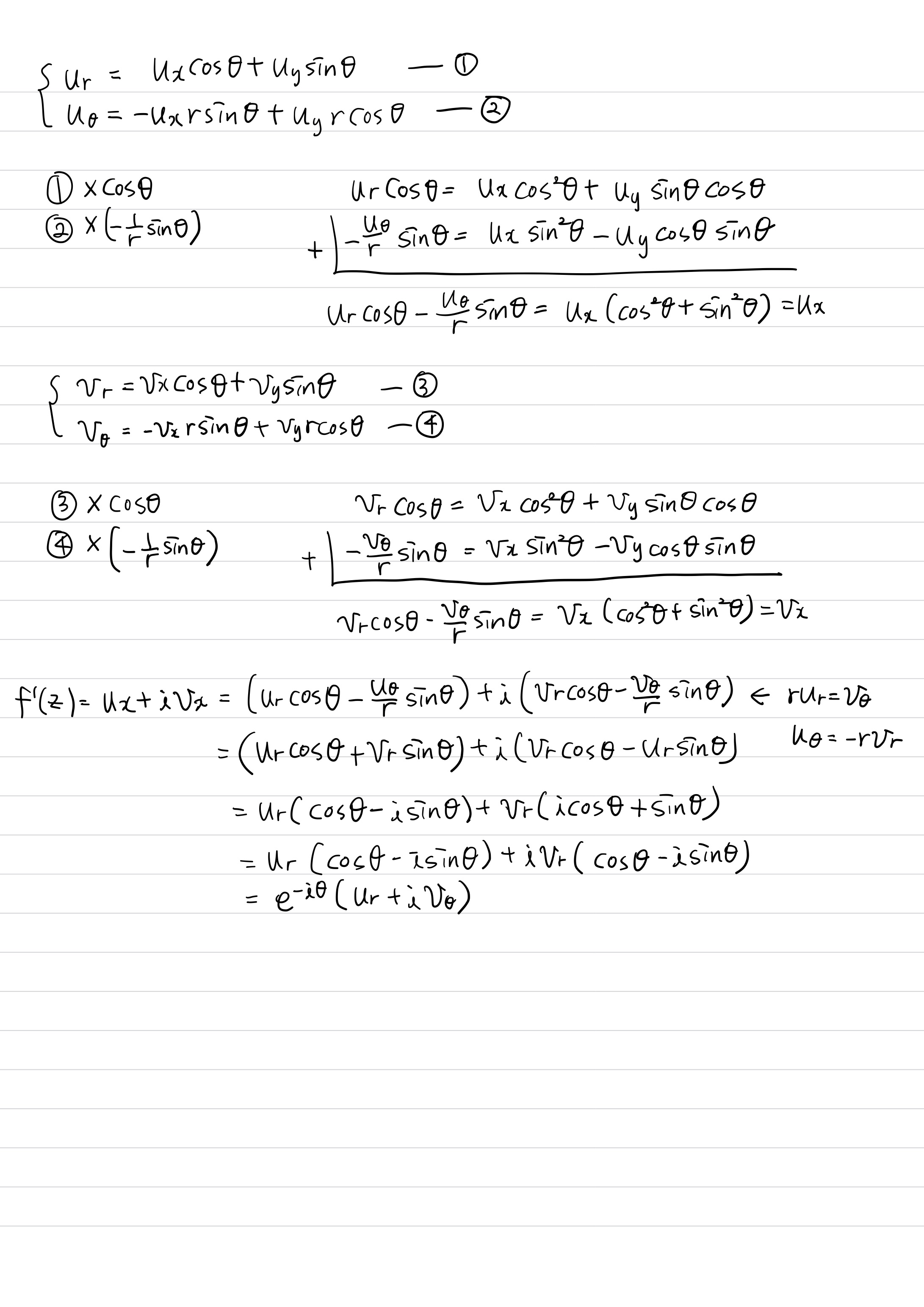
$u_{r}=u_{x}\cos\theta +u_{y}\sin\theta, u_{\theta}=-u_{x}r\sin\theta + u_{y}r\cos\theta$
$v_{r}=v_{x}\cos\theta + v_{y}\sin\theta, v_{\theta}=-v_{x}r\sin\theta + v_{y}r\cos\theta$
만약에 Cauchy-Riemann equations을 만족한다면
$u_{x}=v_{y}, u_{y}=-v_{x}$
$v_{r}=-u_{y}\cos\theta+u_{x}\sin\theta, v_{\theta}=r(u_{y}\sin\theta+u_{x}\cos\theta)$
$\therefore ru_{r}=v_{\theta}, u_{\theta}=-rv_{r}$
$\text{Theorem) }$
$\text{Let the function }f(z)=u(r,\theta)+iv(r,\theta)$
$\text{be defined throughout some }\varepsilon \text{ neighborhood of a nonzero point }z_{0}=r_{0}\exp (i\theta_{0})\text{, and suppose that}$
$\text{(a). the first-order partial derivatives of the functions u and v with respect to r and }\theta$
$\text{ exist everywhere in the neighborhood;}$
$\text{(b). those partial derivatives are continuous at }(r_{0},\theta_{0})\text{ and satisfy the polar form}$
$ru_{r}=v_{\theta}, u_{\theta}=-rv_{r}$
$\text{of the Cauchy-Riemann equations at }(r_{0},\theta_{0})$
$\text{Then }f^{'}(z_{0})=e^{-i\theta}(u_{r}+iv_{r})$
$f^{'}(z_{0})=e^{-i\theta}(u_{r}+iv_{r})$임을 보이겠습니다.
기본적으로 $f^{'}(z)=u_{x}+iv_{x}$를 $u_{r},v_{r}$로 바꾸기 위한 과정이라고 보시면 됩니다.

다음에는 analytic function에 대한 내용을 정리하겠습니다.
'수학 Mathematics > 복소해석학 Complex Analysis' 카테고리의 다른 글
| [응용복소함수] Chap2 : Derivatives (0) | 2021.03.07 |
|---|---|
| [응용복소함수] Chap2 : Limits, Continuity (0) | 2021.03.05 |
| [응용복소함수] Chap2 : Function, Mapping (0) | 2021.03.04 |
| [응용복소함수] Chap1 : Complex numbers (0) | 2021.03.04 |